
Обмен веществ
ОБМЕН ВЕЩЕСТВ (метаболизм) – это совокупность всех химических реакций, которые происходят в организме. Все эти реакции делятся на 2 группы:
- Пластический обмен (ассимиляция, анаболизм, биосинтез) – это когда из простых веществ с затратой энергии образуются (синтезируются) более сложные. Например, при фотосинтезе из углекислого газа и воды синтезируется глюкоза.
- Энергетический обмен (диссимиляция, катаболизм, дыхание) – это когда сложные вещества распадаются (окисляются) до более простых, и при этом выделяется энергия. Например, в митохондриях глюкоза окисляется до углекислого газа и воды, при этом образуется АТФ.
Всем организмам для жизнедеятельности требуются энергия (для проведения энергозатратных реакций) и органические вещества (для роста и починки повреждений). Энергию все организмы получают одинаково (путём клеточного дыхания), а по способу получения органических веществ организмы делятся на две группы:
- гетеротрофы получают готовые органические вещества с пищей (это животные, грибы, большинство бактерий, паразитические растения);
- автотрофы делают органические вещества самостоятельно (это растения и часть бактерий).
Для самостоятельного синтеза органических веществ автотрофам нужна энергия. Получение этой энергии происходит в процессе пластического обмена. (Также у автотрофов есть и энергетический обмен, при котором получается энергия для жизнедеятельности путем клеточного дыхания.)
- Автофототрофы энергию для синтеза органических веществ получают из света (фотосинтез). К фототрофам относятся растения и фотосинтезирующие бактерии, например, цианобактерии.
- Автохемотрофы энергию для синтеза органических веществ получают при окислении неорганических веществ (хемосинтез). Хемотрофы – это только бактерии, например,
- серобактерии окисляют сероводород до серы,
- железобактерии окисляют двухвалентное железо до трехвалентного,
- нитрифицирующие бактерии окисляют аммиак до азотной кислоты,
- водородные бактерии окисляют водород до воды.
СРАВНЕНИЕ ФОТОСИНТЕЗА И ХЕМОСИНТЕЗА
- Сходства: все это пластический обмен, из неорганических веществ делаются органические (из углекислого газа и воды – глюкоза).
- Различие: энергия для синтеза при фотосинтезе берется из света, а при хемосинтезе – из окислительно-восстановительных реакций.
СРАВНЕНИЕ ДЫХАНИЯ И ФОТОСИНТЕЗА У РАСТЕНИЙ
| Дыхание | Фотосинтез |
| энергетический обмен, энергия выделяется | пластический обмен, энергия запасается |
| глюкоза окисляется в цитоплазме и митохондриях | глюкоза синтезируется в хлоропластах |
| кислород поглощается, углекислый газ выделяется | кислород выделяется, углекислый газ поглощается |
ДЫХАНИЕ У РАСТЕНИЙ
1) Происходит во всех живых клетках круглосуточно (фотосинтез – только в зеленых клетках и только на свету).
2) При дыхании растения, как и мы, поглощают кислород и выделяют углекислый газ. Кислород окисляет глюкозу, созданную при фотосинтезе, получается энергия АТФ.
3) После полива рекомендуется рыхлить почву, чтобы к корням лучше поступал кислород. Если в земле не будет воздуха, то корни задохнутся, и растение погибнет.
Дополнительные материалы
ВИДЕО-УРОК ПО ТЕМЕ: ссылка для донов, ссылка для мастер-группы
ДОПОЛНИТЕЛЬНЫЙ КОНСПЕКТ: Типы обмена веществ у бактерий
ЗАДАНИЯ ЧАСТИ 2 ЕГЭ ПО ЭТОЙ ТЕМЕ
Задания части 1
МЕТАБОЛИЗМ
Выберите три верных ответа из шести. Обмен веществ как одно из свойств живых систем характеризуется тем, что происходит:
1) избирательное реагирование на внешние воздействия окружающей среды
2) протекание физиологических процессов с затратой энергии
3) передача из поколения в поколение признаков и свойств
4) поглощение необходимых веществ из окружающей среды
5) выделение продуктов диссимиляции
6) поддержание относительного постоянства физико-химических параметров внутренней среды
Ответ
245
ПЛАСТИЧЕСКИЙ
1. Выберите три верных ответа из шести и запишите цифры, под которыми они указаны. Какие из перечисленных ниже терминов можно использовать для описания пластического обмена?
1) расщепление
2) ассимиляция
3) гликолиз
4) брожение
5) трансляция
6) хемосинтез
Ответ
256
2. Выберите три верных ответа из шести и запишите цифры, под которыми они указаны. Какие из приведённых процессов являются примерами пластического обмена?
1) гликолиз
2) трансляция
3) фотосинтез
4) репликация
5) брожение
6) денатурация
Ответ
234
3. Выберите три верных ответа из шести и запишите цифры, под которыми они указаны. Для описания пластического обмена используются следующие термины:
1) дупликация
2) конъюгация
3) репликация
4) трансляция
5) транслокация
6) транскрипция
Ответ
346
4. Выберите три верных ответа из шести и запишите цифры, под которыми они указаны. Для описания пластического обмена веществ в клетке используются следующие термины:
1) ассимиляция
2) брожение
3) гликолиз
4) диссимиляция
5) транскрипция
6) трансляция
Ответ
156
5. Выберите три верных ответа из шести и запишите цифры, под которыми они указаны. Для описания пластического обмена веществ в клетке используются следующие термины:
1) гидролиз
2) диссимиляция
3) окисление
4) репликация
5) хемосинтез
6) цикл Кальвина
Ответ
456
ЭНЕРГЕТИЧЕСКИЙ
1. Выберите три процесса, относящихся к энергетическому обмену веществ.
1) выделение кислорода в атмосферу
2) образование углекислого газа, воды, мочевины
3) окислительное фосфорилирование
4) синтез глюкозы
5) гликолиз
6) фотолиз воды
Ответ
235
2. Выберите три верных ответа из шести. Какие термины связаны с процессом диссимиляции?
1) полисома
2) митохондрия
3) гликолиз
4) фотосинтез
5) ядро
6) лизосома
Ответ
236
3. Выберите три верных ответа из шести и запишите цифры, под которыми они указаны. Какие из приведённых признаков характерны для энергетического обмена?
1) возбуждение молекулы хлорофилла
2) цикл Кребса
3) световая фаза
4) синтез АТФ
5) фотолиз воды
6) расщепление крахмала
Ответ
246
4. Выберите три верных ответа и запишите в таблицу цифры, под которыми они указаны. Какие из перечисленных ниже процессов используют для описания энергетического обмена?
1) окисление
2) ассимиляция
3) гликолиз
4) брожение
5) транскрипция
6) трансляция
Ответ
134
5. Выберите три верных ответа из шести и запишите цифры, под которыми они указаны. К энергетическом обмену относятся:
1) дыхание
2) фотосинтез
3) синтез белка
4) гликолиз
5) брожение
6) хемосинтез
Ответ
145
6. Выберите три верных ответа из шести и запишите цифры, под которыми они указаны. К энергетическом обмену относятся:
1) ренатурация белка
2) фиксация неорганического углерода
3) молочнокислое брожение
4) синтез молекул АТФ
5) фиксация углекислого газа
6) окислительное фосфорилирование
Ответ
346
Выберите три верных ответа из шести и запишите цифры, под которыми они указаны. Энергетический обмен в клетке:
1) завершается в митохондриях
2) завершается в рибосомах
3) завершается образованием углекислого газа
4) идёт с поглощением энергии
5) происходит только у гетеротрофов
6) сопровождается синтезом АТФ
Ответ
136
ПЛАСТИЧЕСКИЙ - ЭНЕРГЕТИЧЕСКИЙ
1. Установите соответствие между характеристикой обмена и его видом: 1) пластический, 2) энергетический. Запишите цифры 1 и 2 в правильном порядке.
А) окисление органических веществ
Б) образование полимеров из мономеров
В) расщепление АТФ
Г) запасание энергии в клетке
Д) репликация ДНК
Е) окислительное фосфорилирование
Ответ
211212
2. Установите соответствие между характеристикой обмена веществ в клетке и его видом: 1) энергетический, 2) пластический. Запишите цифры 1 и 2 в порядке, соответствующим буквам.
А) происходит бескислородное расщепление глюкозы
Б) происходит на рибосомах, в хлоропластах
В) конечные продукты обмена – углекислый газ и вода
Г) органические вещества синтезируются
Д) используется энергия, заключенная в молекулах АТФ
Е) освобождается энергия и запасается в молекулах АТФ
Ответ
121221
3. Установите соответствие между признаками обмена веществ у человека и его видами: 1) пластический обмен, 2) энергетический обмен. Запишите цифры 1 и 2 в правильном порядке.
А) вещества окисляются
Б) вещества синтезируются
В) энергия запасается в молекулах АТФ
Г) энергия расходуется
Д) в процессе участвуют рибосомы
Е) в процессе участвуют митохондрии
Ответ
212112
4. Установите соответствие между характеристиками обмена веществ и его видом: 1) энергетический, 2) пластический. Запишите цифры 1 и 2 в порядке, соответствующем буквам.
А) репликация ДНК
Б) биосинтез белка
В) окисление органических веществ
Г) транскрипция
Д) синтез АТФ
Е) хемосинтез
Ответ
221212
5. Установите соответствие между характеристиками и видами обмена: 1) пластический, 2) энергетический. Запишите цифры 1 и 2 в порядке, соответствующем буквам.
А) запасается энергия в молекулах АТФ
Б) синтезируются биополимеры
В) образуются углекислый газ и вода
Г) происходит окислительное фосфорилирование
Д) происходит репликация ДНК
Ответ
21221
6. Установите соответствие между характеристикой и видом обмена веществ: 1) пластический, 2) энергетический. Запишите цифры 1 и 2 в порядке, соответствующем буквам.
А) расщепление жиров в тонком кишечнике
Б) синтез гликогена из глюкозы в печени
В) потребление АТФ в процессе синтеза полимеров
Г) окисление органических веществ с выделением углекислого газа
Д) образование в мышцах молочной кислоты
Ответ
21122
СОБИРАЕМ 7:
А) из жирных кислот и глицерина образуются жиры
Б) из аминокислот синтезируются белки
В) энергия выделяется
Г) из глюкозы образуется гликоген
===
А) белок расщепляется до аминокислот
ПЛАСТИЧЕСКИЙ - ЭНЕРГЕТИЧЕСКИЙ ИНОСТР
1. Установите соответствие между процессами и составляющими частями метаболизма: 1) анаболизм (ассимиляция), 2) катаболизм (диссимиляция). Запишите цифры 1 и 2 в правильном порядке.
А) брожение
Б) гликолиз
В) дыхание
Г) синтез белка
Д) фотосинтез
Е) хемосинтез
Ответ
222111
2. Установите соответствие между характеристиками и процессами обмена веществ: 1) ассимиляция (анаболизм), 2) диссимиляция (катаболизм). Запишите цифры 1 и 2 в порядке, соответствующем буквам.
А) синтез органических веществ организма
Б) включает подготовительный этап, гликолиз и окислительное фосфорилирование
В) освобожденная энергия запасается в АТФ
Г) образуются вода и углекислый газ
Д) требует энергетических затрат
Е) происходит в хлоропластах и на рибосомах
Ответ
122211
Установите соответствие между характеристиками и типами метаболических процессов, отмеченными на рисунке цифрами 1 и 2. Запишите цифры 1 и 2 в порядке, соответствующем буквам.
А) происходит в митохондриях на рибосомах
Б) цикл Кальвина
В) окисление жирных кислот
Г) синтезируются молекулы аденозинтрифосфата
Д) цикл Кребса
Е) перенос генетической информации ДНК на матричную РНК
Ответ
112221
ПЛАСТИЧЕСКИЙ - ЭНЕРГЕТИЧЕСКИЙ ОТЛИЧИЯ
Выберите три варианта. Чем пластический обмен отличается от энергетического?
1) энергия запасается в молекулах АТФ
2) запасенная в молекулах АТФ энергия расходуется
3) органические вещества синтезируются
4) происходит расщепление органических веществ
5) конечные продукты обмена - углекислый газ и вода
6) в результате реакций обмена образуются белки
Ответ
236
АВТОТРОФЫ ПРИМЕРЫ
1. Выберите три варианта. К автотрофам относят
1) споровые растения
2) плесневые грибы
3) одноклеточные водоросли
4) хемотрофные бактерии
5) вирусы
6) большинство простейших
Ответ
134
2. Выберите три верных ответа из шести и запишите цифры, под которыми они указаны. Какие из перечисленных организмов являются автотрофами?
1) мукор
2) нитрифицирующие бактерии
3) дрожжи
4) цианобактерии
5) железобактерии
6) сенная палочка
Ответ
245
3. Выберите три верных ответа из шести и запишите цифры, под которыми они указаны. Автотрофными организмами являются:
1) Амеба обыкновенная
2) Венерина мухоловка
3) Гидра зеленая
4) Инфузория туфелька
5) Пинуллярия зеленая
6) Спирогира
Ответ
256
4. Выберите три верных ответа из шести и запишите цифры, под которыми они указаны. Автотрофами являются:
1) дрожжи
2) кукушкин лён
3) пеницилл
4) подосиновик
5) хвощ полевой
6) хламидомонада
Ответ
256
5. Выберите три верных ответа из шести и запишите цифры, под которыми они указаны. Автотрофами являются:
1) бактериофаг
2) кишечная палочка
3) мухомор
4) серобактерия
5) спирогира
6) сфагнум
Ответ
456
6. Выберите три верных ответа из шести и запишите цифры, под которыми они указаны. Автотрофами являются:
1) амёба
2) железобактерия
3) ламинария
4) планария
5) пеницилл
Ответ
236
АВТОТРОФЫ В ОТЛИЧИЕ ОТ ГЕТЕРОТРОФОВ
Выберите три верных ответа и запишите в таблицу цифры, под которыми они указаны. В экосистемах автотрофные организмы, в отличие от гетеротрофных,
1) фиксируют углекислый газ
2) используют органические вещества в процессе дыхания
3) синтезируют органические вещества из неорганических
4) используют органические вещества в качестве источника углерода
5) потребляют глюкозу и белки в целях получения строительного материала для собственного организма
6) составляют первый трофический уровень
Ответ
136
АВТОТРОФЫ - ГЕТЕРОТРОФЫ
1. Установите соответствие между особенностью обмена веществ и группой организмов, для которых она характерна: 1) автотрофы, 2) гетеротрофы
А) выделение кислорода в атмосферу
Б) использование энергии, заключенной в пище, для синтеза АТФ
В) использование готовых органических веществ
Г) синтез органических веществ из неорганических
Д) использование углекислого газа для питания
Ответ
12211
2. Установите соответствие между характеристикой и способом питании организмов: 1) автотрофный, 2) гетеротрофный. Запишите цифры 1 и 2 в правильном порядке.
А) источником углерода служит углекислый газ
Б) сопровождается фотолизом воды
В) используется энергия окисления органических веществ
Г) используется энергия окисления неорганических веществ
Д) поступление пищи путем фагоцитоза
Ответ
11212
3. Установите соответствие между особенностью питания организма и группой организмов: 1) автотрофы, 2) гетеротрофы. Запишите цифры 1 и 2 в порядке, соответствующем буквам.
А) захватывают пищу путём фагоцитоза
Б) используют энергию, освобождающуюся при окислении неорганических веществ
В) получают пищу путём фильтрации воды
Г) синтезируют органические вещества из неорганических
Д) используют энергию солнечного света
Е) используют энергию, заключённую в пище
Ответ
212112
АВТОТРОФЫ - ГЕТЕРОТРОФЫ ПРИМЕРЫ
1. Установите соответствие между примером и способом питания: 1) автотрофный, 2) гетеротрофный. Запишите цифры 1 и 2 в правильном порядке.
А) цианобактерии
Б) ламинария
В) бычий цепень
Г) одуванчик
Д) лисица
Ответ
11212
2. Установите соответствие между организмом и типом питания: 1) автотрофное, 2) гетеротрофное. Запишите цифры 1 и 2 в порядке, соответствующем буквам.
А) сосна сибирская
Б) кишечная палочка
В) амебa человеческая
Г) пеницилл
Д) хвощ полевой
Е) хлорелла
Ответ
122211
3. Установите соответствие между одноклеточным организмов и типом питания, который для него характерен: 1) автотрофный, 2) гетеротрофный. Запишите цифры 1 и 2 в порядке, соответствующем буквам.
А) холерный вибрион
Б) железобактерия
В) малярийный плазмодий
Г) хламидомонада
Д) цианобактерия
Е) дизентерийная амёба
Ответ
212112
4. Установите соответствие между примерами и способами питания: 1) автотрофный, 2) гетеротрофный. Запишите цифры 1 и 2 в порядке, соответствующем буквам.
А) спирогира
Б) бычий цепень
В) хвощ полевой
Г) серобактерия
Д) зеленый кузнечик
Ответ
12112
5. Установите соответствие между примерами и способами питания: 1) автотрофный, 2) гетеротрофный. Запишите цифры 1 и 2 в порядке, соответствующем буквам.
А) хлорелла
Б) лягушка
В) шампиньон
Г) папоротник
Д) ламинария
Ответ
12211
6сб. Установите соответствие между примерами и способами питания: 1) автотрофный, 2) гетеротрофный. Запишите цифры 1 и 2 в порядке, соответствующем буквам.
А) мукор
Б) нитрифицирующие бактерии
В) трутовик
Г) бактерии гниения
Д) сфагнум
Е) ландыш
Ответ
212211
СОБИРАЕМ 7:
Д) дрожжи
Е) мухомор
ХЕМОТРОФЫ
Выберите три верных ответа из шести и запишите цифры, под которыми они указаны. Хемосинтезирующие бактерии способны получать энергию при окислении:
1) азота
2) хлора
3) железа
4) магния
5) серы
6) фосфора
Ответ
135
Какие из приведённых ниже организмов относятся к хемосинтетикам? Выберите три верных ответа из шести и запишите цифры, под которыми они указаны.
1) железобактерии
2) серобактерии
3) азотфиксирующие (клубеньковые) бактерии
4) гнилостные бактерии
5) водородные бактерии
6) молочнокислые бактерии
Ответ
125
ФОТОСИНТЕЗ - ХЕМОСИНТЕЗ СХОДСТВО
Выберите три верных ответа из шести и запишите цифры, под которыми они указаны. Сходство хемосинтеза и фотосинтеза состоит в том, что в обоих процессах:
1) используется энергия квантов света
2) используется энергия, освобождаемая при окислении неорганических веществ
3) в качестве источника углерода используется углекислый газ
4) в атмосферу выделяется конечный продукт - кислород
5) происходит синтез органических соединений из неорганических
6) происходят реакции пластического обмена
Ответ
356
ФОТОТРОФЫ - ХЕМОТРОФЫ ПРИЗНАКИ
1. Установите соответствие между характеристикой организмов и способом их питания: 1) фототрофный, 2) хемотрофный. Запишите цифры 1 и 2 в правильном порядке.
А) используется энергия света
Б) происходит окисление неорганических веществ
В) реакции протекают в тилакоидах
Г) сопровождается выделением кислорода
Д) присущ водородным и нитрифицирующим бактериям
Е) требует наличия хлорофилла
Ответ
121121
2. Установите соответствие между характеристикой автотрофного питания и его типом: 1) фотосинтез, 2) хемосинтез
А) используется энергия окисления неорганических веществ
Б) источник энергии – солнечный свет
В) осуществляется в клетках растений
Г) происходит в клетках цианобактерий
Д) выделяется в атмосферу кислород
Е) используется кислород для окисления
Ответ
211112
3. Установите соответствие между характеристикой автотрофного питания и его типом: 1) фотосинтез, 2) хемосинтез
А) окисление аммиака
Б) использование энергии квантов света
В) фотолиз воды
Г) окисление нитрит-аниона
Д) использование энергии окисления неорганических веществ
Е) окисление НАДФ-Н в темновой фазе
Ответ
211221
4. Установите соответствие между характеристикой автотрофного питания и его типом: 1) фотосинтез, 2) хемосинтез
А) синтез глюкозы при окислении неорганики
Б) окисление сульфидов до сульфатов
В) использование энергии окисления железа
Г) наличие двух фотосистем
Д) осуществляется нитрифицирующими бактериями
Е) происходит окисление воды
Ответ
222121
ФОТОТРОФЫ - ХЕМОТРОФЫ ПРИМЕРЫ
1. Установите соответствие между группой организмов и процессом превращения веществ, который для нее характерен: 1) фотосинтез, 2) хемосинтез
А) папоротникообразные
Б) железобактерии
В) бурые водоросли
Г) цианобактерии
Д) зеленые водоросли
Е) нитрифицирующие бактерии
Ответ
121112
2. Установите соответствие между примерами и способами питания живых организмов: 1) фототрофный, 2) хемотрофный. Запишите цифры 1 и 2 в порядке, соответствующем буквам.
А) спирогира
Б) нитрифицирующая бактерия
В) хлорелла
Г) серобактерии
Д) железобактерии
Е) хлорококк
Ответ
121221
3. Установите соответствие между примерами и типами питания: 1) фототрофный, 2) хемотрофный. Запишите цифры 1 и 2 в порядке, соответствующем буквам.
А) серобактерии
Б) цианобактерии
В) железобактерии
Г) сфагнум
Д) спирогира
Ответ
21211
ХЕМОТРОФЫ - ГЕТЕРОТРОФЫ
Установите соответствие между организмами и типами их питания: 1) хемоавтотрофный, 2) гетеротрофный. Запишите цифры 1 и 2 в порядке, соответствующем буквам.
А) бактерии гниения
Б) обыкновенная амёба
В) нитрифицирующие бактерии
Г) серобактерии
Д) плесневые грибы
Ответ
22112
ФОТОТРОФЫ - ХЕМОТРОФЫ - ГЕТЕРОТРОФЫ
1. Установите соответствие между организмом и способом его питания: 1) фототрофный, 2) гетеротрофный, 3) хемотрофный. Запишите цифры 1, 2 и 3 в правильном порядке.
А) спирогира
Б) пеницилл
В) серобактерия
Г) цианобактерия
Д) дождевой червь
Ответ
12312
2. Установите соответствие между организмами и типами их питания: 1) фототрофный, 2) гетеротрофный. Запишите цифры 1 и 2 в порядке, соответствующем буквам.
А) лямблия
Б) гриб спорынья
В) хламидомонада
Г) цианобактерия
Д) сфагнум
Ответ
22111
ФОТОСИНТЕЗ - ДЫХАНИЕ
1. Установите соответствие между характеристикой и процессом: 1) фотосинтез, 2) гликолиз. Запишите цифры 1 и 2 в правильном порядке.
А) происходит в хлоропластах
Б) синтезируется глюкоза
В) является этапом энергетического обмена
Г) происходит в цитоплазме
Д) происходит фотолиз воды
Ответ
11221
2. Установите соответствие между характеристикой и процессом жизнедеятельности растения, к которому её относят: 1) фотосинтез, 2) дыхание. Запишите цифры 1 и 2 в порядке, соответствующем буквам.
А) синтезируется глюкоза
Б) окисляются органические вещества
В) выделяется кислород
Г) образуется углекислый газ
Д) происходит в митохондриях
Е) сопровождается поглощением энергии
Ответ
121221
3. Установите соответствие между процессом и видом обмена веществ в клетке: 1) фотосинтез, 2) энергетический обмен
А) образование пировиноградной кислоты (ПВК)
Б) происходит в митохондриях
В) фотолиз молекул воды
Г) синтез молекул АТФ за счет энергии света
Д) происходит в хлоропластах
Е) синтез 38 молекул АТФ при расщеплении молекулы глюкозы
Ответ
221112
4. Установите соответствие между признаком жизнедеятельности растений и процессом дыхания или фотосинтеза: 1) дыхание, 2) фотосинтез
А) осуществляется в клетках с хлоропластами
Б) происходит во всех клетках
В) поглощается кислород
Г) усваивается углекислый газ
Д) образуются органические вещества из неорганических на свету
Е) окисляются органические вещества
Ответ
211221
5. Установите соответствие особенностями и между процессами: 1) фотосинтез, 2) дыхание. Запишите цифры 1 и 2 в правильном порядке.
А) АТФ образуется в хлоропластах
Б) происходит во всех живых клетках
В) АТФ образуется в митохондриях
Г) конечные продукты – органические вещества и кислород
Д) исходные вещества – углекислый газ и вода
Е) энергия высвобождается
Ответ
122112
6. Установите соответствие между процессами и их особенностями: 1) дыхание, 2) фотосинтез. Запишите цифры 1 и 2 в порядке, соответствующем буквам.
А) кислород поглощается, а углекислый газ и вода выделяются
Б) органические вещества образуются
В) происходит в хлоропластах на свету
Г) углекислый газ и вода поглощаются, а кислород выделяется
Д) происходит в митохондриях на свету и в темноте
Е) органические вещества расщепляются
Ответ
122211
СОБИРАЕМ
А) Побочным продуктом химических реакций является кислород.
Б) Органические вещества в результате процесса расходуются
В) Процесс сходен с горением.

Установите соответствие между характеристиками и процессами, схемы которых представлены на рисунке: запишите цифры 1 и 2 в порядке, соответствующем буквам.
А) Процесс разделяют на темновую и световую стадии.
Б) Первая стадия процесса происходит в цитоплазме.
В) Происходит у любых аэробных эукариот.
Г) Процесс происходит при участии хлорофилла.
Д) В ходе процесса расщепляется вода.
Е) Конечные продукты – CO2 и вода.
Ответ
122112
Установите соответствие между процессом, протекающим в клетке, и органоидом, в котором он происходит: 1) митохондрия, 2) хлоропласт. Запишите цифры 1 и 2 в правильной последовательности.
А) восстановление углекислого газа до глюкозы
Б) синтез АТФ в процессе дыхания
В) первичный синтез органических веществ
Г) превращение световой энергии в химическую
Д) расщепление органических веществ до углекислого газа и воды
Ответ
21221
Лабораторное растение производит путем фотосинтеза 8 г глюкозы в минуту, на диссимиляцию оно расходует 2 г глюкозы в минуту. Растение продержали 10 минут на свету, а затем 10 минут в темноте. На сколько увеличится содержание глюкозы в растении по сравнению с исходным состоянием? В ответ запишите только количество грамм глюкозы.
Ответ
40
Растение синтезирует в ходе фотосинтеза 5 г глюкозы в минуту, а на дыхание расходует 1 г глюкозы в минуту. Растение освещали в течение 15 минут. На сколько увеличится содержание глюкозы в растении по сравнению с исходным состоянием? В ответ запишите только количество грамм глюкозы.
Ответ
60
Растение синтезирует в ходе фотосинтеза 5 г глюкозы в минуту, а на дыхание расходует 2 г глюкозы в минуту. Растение освещали в течение 10 минут, а затем поместили на 30 минут в темноту. На сколько снизится содержание глюкозы в растении по сравнению с исходным состоянием? В ответ запишите только количество грамм глюкозы.
Ответ
30
Установите соответствие между признаками органоида и органоидом, для которого эти признаки характерны: 1) Хлоропласт, 2) Митохондрия. Запишите цифры 1 и 2 в правильном порядке.
А) Содержит зелёный пигмент
Б) Состоит из двойной мембраны, тилакоидов и гран
В) Преобразует энергию света в химическую энергию
Г) Состоит из двойной мембраны и крист
Д) Обеспечивает окончательное окисление питательных веществ
Е) Запасает энергию в виде 38 моль АТФ при расщеплении 1 моль глюкозы
Ответ
111222
ДЫХАНИЕ РАСТЕНИЙ
Проанализируйте текст «Дыхание растений». Для каждой ячейки, обозначенной буквой, выберите соответствующий термин из предложенного списка. Процесс дыхания растений протекает постоянно. В ходе этого процесса организм растения потребляет ________ (А), а выделяет ________ (Б). Ненужные газообразные вещества удаляются из растения путём диффузии. В листе они удаляются через особые образования — ________ (В), расположенные в кожице. При дыхании освобождается энергия органических веществ, запасённая в ходе ________ (Г), происходящего в зелёных частях растения на свету.
1) вода
2) испарение
3) кислород
4) транспирация
5) углекислый газ
6) устьица
7) фотосинтез
8) чечевичка
Ответ
3567
СУПЕРВТОРЫЕ ПО ДЫХАНИЮ РАСТЕНИЙ
1. Экспериментатор поместил растение, росшее в освещенном аквариуме, в герметичную темную камеру. Как за сутки изменится:
А) масса растения,
Б) содержание кислорода в камере,
В) содержание углекислого газа в камере?
Для каждой величины определите соответствующий характер её изменения: (1) увеличилась, (2) уменьшилась, (3) не изменилась. Цифры в ответе могут повторяться.
Ответ
221
2. Экспериментатор разместил в своей спальне 120 комнатных растений. Как изменится в течении ночи содержание в воздухе спальни:
А) кислорода,
Б) углекислого газа,
В) водяного пара?
Для каждой величины определите соответствующий характер её изменения: (1) увеличилась, (2) уменьшилась, (3) не изменилась. Цифры в ответе могут повторяться.
Ответ
211
3. Экспериментатор добавил воду в замкнутый сосуд с сухими семенами гороха. Как изменилась:
А) температура семян,
Б) содержание кислорода в сосуде,
В) содержание углекислого газа в сосуде?
Для каждой величины определите соответствующий характер её изменения: (1) увеличилась, (2) уменьшилась, (3) не изменилась. Цифры в ответе могут повторяться.
Ответ
121
4. Экспериментатор поместил чашку Петри с прорастающими семенами под герметичный стеклянный колпак и оставил там на один световой день. Что произойдёт:
А) с содержанием кислорода по колпаком,
Б) с содержанием углекислого газа под колпаком,
В) с содержанием крахмала в семенах?
Для каждой величины определите соответствующий характер её изменения: (1) увеличилась, (2) уменьшилась, (3) не изменилась. Цифры в ответе могут повторяться.
Ответ
212
Установите соответствие между утверждениями и их правильностью: 1) правильно, 2) неправильно. Запишите цифры 1 и 2 в порядке, соответствующем буквам.
А) Все автотрофные организмы являются также фототрофными.
Б) Все хемосинтезирующие организмы - прокариоты.
В) Зародыш семени на самых ранних этапах прорастания гетеротрофен.
Ответ
211
Найдите три ошибки в приведенном тексте. Укажите номера предложений, в которых они сделаны. (1) Среди автотрофных организмов большое количество растений. (2) Наряду с автотрофным питанием существует гетеротрофное. (3) К гетеротрофам относят паразитические и сорные растения. (4) Сорные растения конкурируют с культурными за свет, воду, минеральные соли и кислород. (5) Часто культурные растения не выдерживают конкуренции. (6) Растения-паразиты поглощают Н2О и СО2 из организмов растений, на которых паразитируют. (7) Они имеют многочисленные приспособления к паразитизму, например, корни-присоски.
Ответ
346
Найдите три ошибки в приведенном тексте. Укажите номера предложений, в которых они сделаны. (1) Каждому организму в процессе жизнедеятельности необходима энергия. (2) Гетеротрофные организмы поглощают из внешней среды готовые органические вещества. (3) К гетеротрофам относят многочисленных животных, паразитические бактерии, вирусы и др. (4) Гетеротрофы не могут самостоятельно синтезировать органические вещества из воды и углекислого газа. (5) Они получают воду и углекислый газ, питаясь различными организмами. (6) Окисляя органические вещества, гетеротрофы получают необходимую им энергию. (7) Гетеротрофные организмы в истории развития жизни на Земле появились вслед за автотрофами.
Ответ
357
Найдите три ошибки в приведенном тексте. Укажите номера предложений, в которых они сделаны. (1) Обмен веществ, или метаболизм, – это совокупность реакций синтеза и распада веществ клетки и организма, связанных с выделением или поглощением энергии. (2) Совокупность реакций синтеза высокомолекулярных органических соединений из низкомолекулярных соединений относят к пластическому обмену. (3) В реакциях пластического обмена синтезируются молекулы АТФ. (4) Фотосинтез относят к энергетическому обмену. (5) В результате хемосинтеза синтезируются органические вещества из неорганических за счет энергии Солнца.
Ответ
345

ХИМИКАТЫ
1. Установите соответствие между характеристиками и соединениями, обозначенными цифрами на схеме. Запишите цифры 1-3 в порядке, соответствующем буквам.
А) образуется при гидролизе жиров
Б) продукт анаэробного метаболизма дрожжей
В) восстанавливается до молочной кислоты
Г) образуется в результате гликолиза
Д) входит в состав фосфолипидов
Е) образует ацетил-КоА в матриксе митохондрий
Ответ
231121

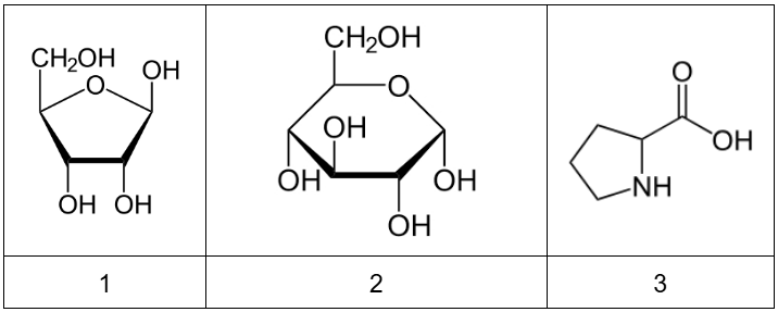
2. Установите соответствие между характеристиками и соединениями, обозначенными цифрами на схеме. Запишите цифры 1-3 в порядке, соответствующем буквам.
А) входит в состав крахмала
Б) входит в состав АТФ
В) является пятиуглеродным сахаром
Г) образует пептидную связь
Д) транспортируется тРНК
Е) выделяется под действием глюкагона
Ответ
211332

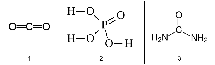
3. Установите соответствие между характеристиками и соединениями, обозначенными цифрами на схеме. Запишите цифры 1-3 в порядке, соответствующем буквам.
А) образуется при гидролизе АТФ
Б) конечный продукт азотистого обмена
В) синтезируется в печени из аммиака
Г) конечный продукт аэробного метаболизма
Д) остаток содержится в фосфолипидах
Е) образуется дрожжами при спиртовом брожении
Ответ
233121

4. Установите соответствие между характеристиками и соединениями, обозначенными цифрами на схеме. Запишите цифры 1-3 в порядке, соответствующем буквам.
А) входит в состав молекул жиров
Б) образует пептидные связи
В) входит в состав крахмала
Г) является моносахаридом
Д) нерастворима в воде
Е) входит в состав белков
Ответ
312231
© Д.В.Поздняков, 2009-2020